2025-03-19
业务概述:
合肥格朗检测科技有限公司提供全面的导热系数检测服务, HFM 510A热流计法导热仪能够准确、高效地测定样品导热系数。
检测目的:
1. 为客户提供全面、专业、精准的低导热系数测试解决方案。对于优化产品保温能力具有重要意义。
2. 建筑的设计和施工需要使用高质量的保温材料,以提高建筑的能源利用效率,达成节能减排的目标。导热系数是评估保温材料性能的关键指标,是建筑外墙保温材料选取的主要依据。
检测项目:
1. 导热系数参数测定
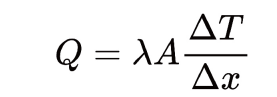
热流计法导热仪是测定保温材料导热系数的主要仪器,测试原理为将样品放置于上下两块温控板之间,施加恒定的温差,并用热流计测量稳定状态下通过样品的热流。热流Ф的大小取决于样品的导热系数λ、样品厚度∆x、冷热板温差∆T、传热面积A等因素。根据傅里叶公式,当达到热平衡时,导热系数λ可通过以下公式计算得出:
检测标准:
lGB/T 10295-2008《绝热材料稳态热阻及有关特性的测定热流计法》
lDIN EN 12664《建筑材料和产品的热性能.用防护热板和热流计法测定热阻.具有中热阻和低热阻的干燥和潮湿产品》
lASTM C518-17《使用热流计测定稳态热传导特性的标准试验方法》
lISO 8301:1991《绝热稳态热阻及有关特性的测定热流计法》
lEN 12667《建筑材料和制品的热性能.用热流计和护热板法测定热阻值.高和中热阻值制品》
lJIS A1412《熱絶縁材の熱抵抗及び熱伝導率の測定方法》等标准
服务优势:
l检测周期更短,快速出具检测报告
l检测费用更低,性价比高
l检测方案更完善,满足客户需求
l售后服务更优质,提供全方位支持
检测流程:
1. 客户提交产品样品。
2. 与客户沟通需求,确定检测项目及报价。
3. 客户寄送或送样至合肥格朗检测科技有限公司。
4. 双方签订合同并支付检测费用。
5. 安排专业团队进行测试检测。
6. 检测完成后,推送电子报告和纸质报告给客户。
合肥格朗检测科技有限公司致力于为客户提供高效、准确、可靠的导热系数检测服务,助力客户在保温材料研发、生产及应用领域取得更大成功。
我要测试
低导热系数
2025-03-19
业务概述:
合肥格朗检测科技有限公司提供全面的导热系数检测服务, HFM 510A热流计法导热仪能够准确、高效地测定样品导热系数。
检测目的:
1. 为客户提供全面、专业、精准的低导热系数测试解决方案。对于优化产品保温能力具有重要意义。
2. 建筑的设计和施工需要使用高质量的保温材料,以提高建筑的能源利用效率,达成节能减排的目标。导热系数是评估保温材料性能的关键指标,是建筑外墙保温材料选取的主要依据。
检测项目:
1. 导热系数参数测定
热流计法导热仪是测定保温材料导热系数的主要仪器,测试原理为将样品放置于上下两块温控板之间,施加恒定的温差,并用热流计测量稳定状态下通过样品的热流。热流Ф的大小取决于样品的导热系数λ、样品厚度∆x、冷热板温差∆T、传热面积A等因素。根据傅里叶公式,当达到热平衡时,导热系数λ可通过以下公式计算得出:
检测标准:
lGB/T 10295-2008《绝热材料稳态热阻及有关特性的测定热流计法》
lDIN EN 12664《建筑材料和产品的热性能.用防护热板和热流计法测定热阻.具有中热阻和低热阻的干燥和潮湿产品》
lASTM C518-17《使用热流计测定稳态热传导特性的标准试验方法》
lISO 8301:1991《绝热稳态热阻及有关特性的测定热流计法》
lEN 12667《建筑材料和制品的热性能.用热流计和护热板法测定热阻值.高和中热阻值制品》
lJIS A1412《熱絶縁材の熱抵抗及び熱伝導率の測定方法》等标准
服务优势:
l检测周期更短,快速出具检测报告
l检测费用更低,性价比高
l检测方案更完善,满足客户需求
l售后服务更优质,提供全方位支持
检测流程:
1. 客户提交产品样品。
2. 与客户沟通需求,确定检测项目及报价。
3. 客户寄送或送样至合肥格朗检测科技有限公司。
4. 双方签订合同并支付检测费用。
5. 安排专业团队进行测试检测。
6. 检测完成后,推送电子报告和纸质报告给客户。
合肥格朗检测科技有限公司致力于为客户提供高效、准确、可靠的导热系数检测服务,助力客户在保温材料研发、生产及应用领域取得更大成功。